Lines from Grid
objects¶
Grids that have been post-processed through a photoionisation code (e.g. Cloudy
) contain information on emission lines. We can see what lines are available on a grid by printing the available_lines
attribute.
[1]:
import numpy as np
from synthesizer import Grid
grid = Grid("test_grid.hdf5")
print(grid.available_lines)
['He 2 1025.27A' 'O 6 1031.91A' 'O 6 1037.61A' 'He 2 1084.94A'
'Si 2 1179.59A' 'Si 3 1206.50A' 'He 2 1215.13A' 'H 1 1215.67A'
'O 5 1218.34A' 'N 5 1238.82A' 'N 5 1242.80A' 'Si 2 1260.42A'
'Si 2 1264.74A' 'Si 2 1265.00A' 'O 1 1302.17A' 'O 1 1304.86A'
'O 1 1306.03A' 'C 2 1334.53A' 'C 2 1335.66A' 'C 2 1335.71A'
'Si 4 1393.75A' 'O 4 1399.78A' 'O 4 1401.16A' 'Si 4 1402.77A'
'O 4 1404.81A' 'O 4 1407.38A' 'N 4 1486.50A' 'Si 2 1526.71A'
'Si 2 1533.43A' 'C 4 1548.19A' 'C 4 1550.77A' 'Ne 4 1601.45A'
'He 2 1640.41A' 'O 1 1641.31A' 'C 1 1657.91A' 'O 3 1660.81A'
'O 3 1666.15A' 'Al 2 1670.79A' 'N 3 1749.67A' 'Mg 6 1806.00A'
'Si 3 1882.71A' 'Si 3 1892.03A' 'C 3 1906.68A' 'C 3 1908.73A'
'C 1 1992.01A' 'Si 7 2146.64A' 'O 3 2320.95A' 'C 2 2325.40A'
'C 2 2326.93A' 'Fe 2 2395.63A' 'Fe 2 2399.24A' 'Fe 2 2406.66A'
'Fe 2 2410.52A' 'C 1 2582.90A' 'Fe 2 2598.37A' 'Fe 2 2607.09A'
'Fe 2 2611.87A' 'Fe 2 2613.82A' 'Fe 2 2625.67A' 'Fe 2 2628.29A'
'Mg 7 2628.89A' 'Fe 2 2631.05A' 'Fe 2 2631.32A' 'Mg 5 2782.76A'
'Mg 2 2795.53A' 'Mg 2 2802.71A' 'Fe 4 2829.36A' 'Fe 4 2835.74A'
'Ar 4 2853.66A' 'Fe 4 3094.96A' 'He 1 3187.74A' 'Ne 5 3345.82A'
'Ne 5 3425.88A' 'Fe 7 3586.32A' 'Fe 6 3662.50A' 'O 2 3726.03A'
'O 2 3728.81A' 'H 1 3734.37A' 'H 1 3750.15A' 'Fe 7 3758.92A'
'H 1 3770.63A' 'H 1 3797.90A' 'H 1 3835.38A' 'Ne 3 3868.76A'
'He 1 3888.64A' 'H 1 3889.05A' 'Fe 5 3891.28A' 'Ne 3 3967.47A'
'H 1 3970.07A' 'S 2 4068.60A' 'S 2 4076.35A' 'H 1 4101.73A'
'Fe 2 4243.97A' 'Fe 2 4276.84A' 'Fe 2 4287.39A' 'Fe 2 4319.62A'
'H 1 4340.46A' 'Fe 2 4346.86A' 'Fe 2 4352.79A' 'Fe 2 4358.37A'
'Fe 2 4359.33A' 'O 3 4363.21A' 'Fe 2 4413.78A' 'Fe 2 4416.27A'
'Fe 2 4452.10A' 'Fe 2 4474.90A' 'Fe 3 4658.05A' 'He 2 4685.68A'
'Fe 2 4814.54A' 'H 1 4861.32A' 'Fe 2 4874.50A' 'Fe 2 4889.62A'
'Fe 2 4905.35A' 'Fe 2 4923.92A' 'Fe 2 4947.39A' 'O 3 4958.91A'
'Fe 2 4973.40A' 'Fe 3 4985.87A' 'Fe 2 5005.52A' 'O 3 5006.84A'
'Fe 2 5018.44A' 'Fe 2 5020.25A' 'Fe 2 5049.30A' 'Fe 2 5072.41A'
'Fe 2 5111.64A' 'Fe 2 5158.01A' 'Fe 2 5158.79A' 'Fe 2 5169.03A'
'Fe 6 5176.04A' 'Fe 2 5184.80A' 'Fe 2 5261.63A' 'Fe 3 5270.40A'
'Fe 2 5273.36A' 'Fe 2 5284.10A' 'Fe 2 5333.66A' 'Fe 2 5376.47A'
'Fe 2 5412.67A' 'Fe 2 5433.15A' 'Fe 2 5527.36A' 'Fe 7 5720.71A'
'He 1 5875.61A' 'He 1 5875.64A' 'Fe 7 6086.97A' 'O 1 6300.30A'
'O 1 6363.78A' 'Fe 2 6516.08A' 'N 2 6548.05A' 'H 1 6562.80A'
'N 2 6583.45A' 'Ni 2 6666.80A' 'He 1 6678.15A' 'S 2 6716.44A'
'S 2 6730.82A' 'Ar 3 7135.79A' 'Fe 2 7155.17A' 'Fe 2 7172.00A'
'Ca 2 7291.47A' 'Ca 2 7323.89A' 'Ni 2 7377.83A' 'Fe 2 7388.17A'
'Ni 2 7411.61A' 'Fe 2 7452.56A' 'Ar 3 7751.11A' 'O 1 8446.25A'
'O 1 8446.36A' 'O 1 8446.76A' 'Cl 2 8578.70A' 'Fe 2 8616.95A'
'Fe 2 8891.93A' 'Fe 2 9051.95A' 'S 3 9068.62A' 'Fe 2 9226.63A'
'H 1 9229.02A' 'Fe 2 9267.56A' 'Fe 2 9399.04A' 'Fe 2 9470.94A'
'S 3 9530.62A' 'H 1 9545.97A' 'H 1 1.00494m' 'S 2 1.02867m'
'S 2 1.03205m' 'S 2 1.03364m' 'He 1 1.08291m' 'He 1 1.08303m'
'H 1 1.09381m' 'O 1 1.12863m' 'O 1 1.12864m' 'O 1 1.12869m'
'O 1 1.12870m' 'O 1 1.12873m' 'Ni 2 1.19102m' 'Fe 2 1.25668m'
'Fe 2 1.27877m' 'H 1 1.28181m' 'Fe 2 1.29427m' 'Fe 2 1.32055m'
'Fe 2 1.32777m' 'Fe 2 1.37181m' 'Fe 2 1.53348m' 'Fe 2 1.59948m'
'Fe 2 1.64355m' 'Fe 2 1.66377m' 'Fe 2 1.67688m' 'Fe 2 1.71113m'
'Fe 2 1.74494m' 'Fe 2 1.79711m' 'Fe 2 1.80002m' 'Fe 2 1.80940m'
'H 1 1.87510m' 'Fe 2 1.89541m' 'Ni 2 1.93877m' 'Fe 2 1.95361m'
'Si 6 1.96247m' 'H 1 2.16553m' 'Si 7 2.48071m']
This is also reported if we give use the print
function on a grid directly:
[2]:
print(grid)
+--------------------------------------------------------------------------------------------+
| GRID |
+-----------------------------+--------------------------------------------------------------+
| Attribute | Value |
+-----------------------------+--------------------------------------------------------------+
| grid_dir | '/home/runner/.local/share/Synthesizer/grids' |
+-----------------------------+--------------------------------------------------------------+
| grid_name | 'test_grid' |
+-----------------------------+--------------------------------------------------------------+
| grid_ext | 'hdf5' |
+-----------------------------+--------------------------------------------------------------+
| grid_filename | '/home/runner/.local/share/Synthesizer/grids/test_grid.hdf5' |
+-----------------------------+--------------------------------------------------------------+
| reprocessed | True |
+-----------------------------+--------------------------------------------------------------+
| lines_available | True |
+-----------------------------+--------------------------------------------------------------+
| naxes | 2 |
+-----------------------------+--------------------------------------------------------------+
| date_created | '2025-03-05' |
+-----------------------------+--------------------------------------------------------------+
| synthesizer_grids_version | '0.1.dev613+ga9a6aa9' |
+-----------------------------+--------------------------------------------------------------+
| synthesizer_version | '0.8.5b1.dev124+ge16216b5' |
+-----------------------------+--------------------------------------------------------------+
| has_lines | True |
+-----------------------------+--------------------------------------------------------------+
| has_spectra | True |
+-----------------------------+--------------------------------------------------------------+
| ndim | 3 |
+-----------------------------+--------------------------------------------------------------+
| new_line_format | True |
+-----------------------------+--------------------------------------------------------------+
| nlam | 9244 |
+-----------------------------+--------------------------------------------------------------+
| nlines | 215 |
+-----------------------------+--------------------------------------------------------------+
| shape | (51, 13, 9244) |
+-----------------------------+--------------------------------------------------------------+
| available_spectra_emissions | [incident, linecont, nebular, transmitted, |
| | nebular_continuum, ] |
+-----------------------------+--------------------------------------------------------------+
| available_line_emissions | [nebular, linecont, nebular_continuum, transmitted, |
| | incident, ] |
+-----------------------------+--------------------------------------------------------------+
| available_emissions | [nebular, transmitted, nebular_continuum, linecont, |
| | incident, ] |
+-----------------------------+--------------------------------------------------------------+
| axes | [ages, metallicities] |
+-----------------------------+--------------------------------------------------------------+
| available_spectra | [incident, linecont, nebular, transmitted, |
| | nebular_continuum, ] |
+-----------------------------+--------------------------------------------------------------+
| available_lines (215,) | [He 2 1025.27A, O 6 1031.91A, O 6 1037.61A, ...] |
+-----------------------------+--------------------------------------------------------------+
| lam (9244,) | 1.30e-04 Å -> 2.99e+11 Å (Mean: 9.73e+09 Å) |
+-----------------------------+--------------------------------------------------------------+
| line_lams (215,) | 1.03e+03 Å -> 2.48e+04 Å (Mean: 5.98e+03 Å) |
+-----------------------------+--------------------------------------------------------------+
| incident_axes | ['ages' 'metallicities'] |
+-----------------------------+--------------------------------------------------------------+
| spec_names (4,) | [incident, transmitted, nebular, ...] |
+-----------------------------+--------------------------------------------------------------+
| line_ids (215,) | [He 2 1025.27A, O 6 1031.91A, O 6 1037.61A, ...] |
+-----------------------------+--------------------------------------------------------------+
| spectra | incident: ndarray |
| | linecont: ndarray |
| | nebular: ndarray |
| | transmitted: ndarray |
| | nebular_continuum: ndarray |
+-----------------------------+--------------------------------------------------------------+
| line_lums | nebular: unyt_array |
| | linecont: unyt_array |
| | nebular_continuum: unyt_array |
| | transmitted: unyt_array |
| | incident: unyt_array |
+-----------------------------+--------------------------------------------------------------+
| line_conts | nebular: unyt_array |
| | linecont: unyt_array |
| | nebular_continuum: unyt_array |
| | transmitted: unyt_array |
| | incident: unyt_array |
+-----------------------------+--------------------------------------------------------------+
| _axes_values | ages: ndarray |
| | metallicities: ndarray |
+-----------------------------+--------------------------------------------------------------+
| log10_specific_ionising_lum | HI: ndarray |
| | HeII: ndarray |
+-----------------------------+--------------------------------------------------------------+
| axes_values | ages: ndarray |
| | metallicities: ndarray |
+-----------------------------+--------------------------------------------------------------+
Extracting lines from a Grid¶
To demonstrate, we choose some age and metallicity and extract the spectra at that grid point. We can then get information on a single line, in this case H-\(\beta\).
[3]:
log10age = 6.0 # log10(age/yr)
metallicity = 0.01
# find nearest grid point
grid_point = grid.get_grid_point(log10ages=log10age, metallicity=metallicity)
print(grid_point)
line = grid.get_lines(grid_point, "H 1 6562.80A")
print(line)
(np.int64(0), np.int64(8))
+--------------------------------------------------+
| LINECOLLECTION |
+--------------------+-----------------------------+
| Attribute | Value |
+--------------------+-----------------------------+
| nlines | 1 |
+--------------------+-----------------------------+
| id | 'H 1 6562.80A' |
+--------------------+-----------------------------+
| ndim | 1 |
+--------------------+-----------------------------+
| nlam | 1 |
+--------------------+-----------------------------+
| shape | (1,) |
+--------------------+-----------------------------+
| elements | [H, ] |
+--------------------+-----------------------------+
| line_ids | ['H 1 6562.80A'] |
+--------------------+-----------------------------+
| lam | [6562.8] Å |
+--------------------+-----------------------------+
| luminosity | [9.865937e+34] erg/s |
+--------------------+-----------------------------+
| continuum | [3.10475356e+20] erg/(Hz*s) |
+--------------------+-----------------------------+
| cont | [3.10475356e+20] erg/(Hz*s) |
+--------------------+-----------------------------+
| continuum_llam | [2.1610733e+31] erg/(s*Å) |
+--------------------+-----------------------------+
| energy | [1.88919658] eV |
+--------------------+-----------------------------+
| equivalent_width | [4565.29492945] Å |
+--------------------+-----------------------------+
| lum | [9.865937e+34] erg/s |
+--------------------+-----------------------------+
| nu | [4.5680572e+14] Hz |
+--------------------+-----------------------------+
| vacuum_wavelengths | [6564.61289406] Å |
+--------------------+-----------------------------+
We can do this for a combination of lines (e.g. a doublet) if we just pass a comma-separated list of lines ids to the line_id
argument.
[4]:
from synthesizer.emissions.utils import (
Hb,
O3b,
O3r,
)
line = grid.get_lines(grid_point, ", ".join([Hb, O3r, O3b]))
print(line)
+-------------------------------------------------------------------+
| LINECOLLECTION |
+--------------------+----------------------------------------------+
| Attribute | Value |
+--------------------+----------------------------------------------+
| nlines | 1 |
+--------------------+----------------------------------------------+
| id | 'H 1 4861.32A, O 3 5006.84A, O 3 4958.91A' |
+--------------------+----------------------------------------------+
| ndim | 1 |
+--------------------+----------------------------------------------+
| nlam | 1 |
+--------------------+----------------------------------------------+
| shape | (1,) |
+--------------------+----------------------------------------------+
| elements | [H, O, O] |
+--------------------+----------------------------------------------+
| line_ids | ['H 1 4861.32A, O 3 5006.84A, O 3 4958.91A'] |
+--------------------+----------------------------------------------+
| lam | [4942.35666667] Å |
+--------------------+----------------------------------------------+
| luminosity | [2.57937645e+35] erg/s |
+--------------------+----------------------------------------------+
| continuum | [6.09969668e+20] erg/(Hz*s) |
+--------------------+----------------------------------------------+
| cont | [6.09969668e+20] erg/(Hz*s) |
+--------------------+----------------------------------------------+
| continuum_llam | [7.48618881e+31] erg/(s*Å) |
+--------------------+----------------------------------------------+
| energy | [2.50860473] eV |
+--------------------+----------------------------------------------+
| equivalent_width | [3445.51348233] Å |
+--------------------+----------------------------------------------+
| lum | [2.57937645e+35] erg/s |
+--------------------+----------------------------------------------+
| nu | [6.06577951e+14] Hz |
+--------------------+----------------------------------------------+
| vacuum_wavelengths | [4943.73617102] Å |
+--------------------+----------------------------------------------+
We can also get a collection of individual lines by passing a list of line ids to the line_id
argument.
[5]:
line = grid.get_lines(grid_point, [Hb, O3r, O3b])
print(line)
+--------------------------------------------------------------------------------+
| LINECOLLECTION |
+--------------------+-----------------------------------------------------------+
| Attribute | Value |
+--------------------+-----------------------------------------------------------+
| nlines | 3 |
+--------------------+-----------------------------------------------------------+
| ndim | 1 |
+--------------------+-----------------------------------------------------------+
| nlam | 3 |
+--------------------+-----------------------------------------------------------+
| shape | (3,) |
+--------------------+-----------------------------------------------------------+
| available_ratios | [R3, ] |
+--------------------+-----------------------------------------------------------+
| elements | [H, O, O] |
+--------------------+-----------------------------------------------------------+
| line_ids | ['H 1 4861.32A' 'O 3 5006.84A' 'O 3 4958.91A'] |
+--------------------+-----------------------------------------------------------+
| lam | [4861.32 5006.84 4958.91] Å |
+--------------------+-----------------------------------------------------------+
| luminosity | [3.36671057e+34 1.68041462e+35 5.62290773e+34] erg/s |
+--------------------+-----------------------------------------------------------+
| continuum | [1.99786695e+20 2.06153294e+20 2.04029679e+20] erg/(Hz*s) |
+--------------------+-----------------------------------------------------------+
| cont | [1.99786695e+20 2.06153294e+20 2.04029679e+20] erg/(Hz*s) |
+--------------------+-----------------------------------------------------------+
| continuum_llam | [2.53442151e+31 2.46537822e+31 2.48737690e+31] erg/(s*Å) |
+--------------------+-----------------------------------------------------------+
| energy | [2.55042238 2.47629629 2.50023076] eV |
+--------------------+-----------------------------------------------------------+
| equivalent_width | [1328.39409279 6816.05201228 2260.57728803] Å |
+--------------------+-----------------------------------------------------------+
| lum | [3.36671057e+34 1.68041462e+35 5.62290773e+34] erg/s |
+--------------------+-----------------------------------------------------------+
| nu | [6.16689414e+14 5.98765804e+14 6.04553134e+14] Hz |
+--------------------+-----------------------------------------------------------+
| vacuum_wavelengths | [4862.6779924 5008.23663693 4960.29390118] Å |
+--------------------+-----------------------------------------------------------+
If we don’t pass a list then it defaults to returning all available lines.
[6]:
lines = grid.get_lines(grid_point)
print(lines)
+-------------------------------------------------------------------------------------------------+
| LINECOLLECTION |
+---------------------------+---------------------------------------------------------------------+
| Attribute | Value |
+---------------------------+---------------------------------------------------------------------+
| nlines | 215 |
+---------------------------+---------------------------------------------------------------------+
| ndim | 1 |
+---------------------------+---------------------------------------------------------------------+
| nlam | 215 |
+---------------------------+---------------------------------------------------------------------+
| shape | (215,) |
+---------------------------+---------------------------------------------------------------------+
| available_ratios | [BalmerDecrement, N2, S2, O1, R2, R3, R23, |
| | O32, Ne3O2] |
+---------------------------+---------------------------------------------------------------------+
| available_diagrams | [OHNO, BPT-NII, VO78-SII, VO78-OI] |
+---------------------------+---------------------------------------------------------------------+
| elements | [He, O, O, He, Si, Si, He, H, O, N, N, Si, |
| | Si, Si, O, O, O, C, C, C, Si, O, O, Si, O, |
| | O, N, Si, Si, C, C, Ne, He, O, C, O, O, Al, |
| | N, Mg, Si, Si, C, C, C, Si, O, C, C, Fe, Fe, |
| | Fe, Fe, C, Fe, Fe, Fe, Fe, Fe, Fe, Mg, Fe, |
| | Fe, Mg, Mg, Mg, Fe, Fe, Ar, Fe, He, Ne, Ne, |
| | Fe, Fe, O, O, H, H, Fe, H, H, H, Ne, He, H, |
| | Fe, Ne, H, S, S, H, Fe, Fe, Fe, Fe, H, Fe, |
| | Fe, Fe, Fe, O, Fe, Fe, Fe, Fe, Fe, He, Fe, |
| | H, Fe, Fe, Fe, Fe, Fe, O, Fe, Fe, Fe, O, Fe, |
| | Fe, Fe, Fe, Fe, Fe, Fe, Fe, Fe, Fe, Fe, Fe, |
| | Fe, Fe, Fe, Fe, Fe, Fe, Fe, Fe, He, He, Fe, |
| | O, O, Fe, N, H, N, Ni, He, S, S, Ar, Fe, Fe, |
| | Ca, Ca, Ni, Fe, Ni, Fe, Ar, O, O, O, Cl, Fe, |
| | Fe, Fe, S, Fe, H, Fe, Fe, Fe, S, H, H, S, |
| | S, S, He, He, H, O, O, O, O, O, Ni, Fe, Fe, |
| | H, Fe, Fe, Fe, Fe, Fe, Fe, Fe, Fe, Fe, Fe, |
| | Fe, Fe, Fe, Fe, H, Fe, Ni, Fe, Si, H, Si,] |
+---------------------------+---------------------------------------------------------------------+
| line_ids (215,) | [He 2 1025.27A, O 6 1031.91A, O 6 1037.61A, ...] |
+---------------------------+---------------------------------------------------------------------+
| lam (215,) | 1.03e+03 Å -> 2.48e+04 Å (Mean: 5.98e+03 Å) |
+---------------------------+---------------------------------------------------------------------+
| luminosity (215,) | 0.00e+00 erg/s -> 1.99e+35 erg/s (Mean: 3.78e+33 erg/s) |
+---------------------------+---------------------------------------------------------------------+
| continuum (215,) | 2.10e+19 erg/(Hz*s) -> 9.64e+20 erg/(Hz*s) (Mean: 2.51e+20 erg) |
+---------------------------+---------------------------------------------------------------------+
| cont (215,) | 2.10e+19 erg/(Hz*s) -> 9.64e+20 erg/(Hz*s) (Mean: 2.51e+20 erg) |
+---------------------------+---------------------------------------------------------------------+
| continuum_llam (215,) | 1.19e+30 erg/(s*Å) -> 3.67e+32 erg/(s*Å) (Mean: 8.69e+31 erg/(s*Å)) |
+---------------------------+---------------------------------------------------------------------+
| energy (215,) | 5.00e-01 eV -> 1.21e+01 eV (Mean: 3.76e+00 eV) |
+---------------------------+---------------------------------------------------------------------+
| equivalent_width (215,) | 0.00e+00 Å -> 6.82e+03 Å (Mean: 2.02e+02 Å) |
+---------------------------+---------------------------------------------------------------------+
| lum (215,) | 0.00e+00 erg/s -> 1.99e+35 erg/s (Mean: 3.78e+33 erg/s) |
+---------------------------+---------------------------------------------------------------------+
| nu (215,) | 1.21e+14 Hz -> 2.92e+15 Hz (Mean: 9.09e+14 Hz) |
+---------------------------+---------------------------------------------------------------------+
| vacuum_wavelengths (215,) | 1.03e+03 Å -> 2.48e+04 Å (Mean: 5.98e+03 Å) |
+---------------------------+---------------------------------------------------------------------+
Ratios as a function of metallicity¶
To show the dependence on stellar metallicity we can loop over the metallicity grid:
[7]:
import matplotlib.pyplot as plt
ratio_id = "R23"
ia = 0 # 1 Myr old for test grid
ratios = []
for iZ, Z in enumerate(grid.metallicity):
grid_point = (ia, iZ)
lines = grid.get_lines(grid_point)
ratios.append(lines.get_ratio(ratio_id))
Zsun = grid.metallicity / 0.0124
plt.plot(Zsun, ratios)
plt.xlim([0.01, 1])
plt.ylim([1, 20])
plt.xscale("log")
plt.yscale("log")
plt.xlabel(r"$Z/Z_{\odot}$")
plt.ylabel(rf"{ratio_id}")
plt.show()

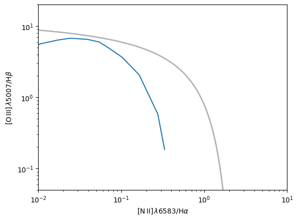
Line Diagrams as a function of metallicity¶
We can also generate diagrams using pairs of line ratios, such as the famous Baldwin, Phillips & Terlevich (BPT) diagram.
line_ratios
also contains some classification regions (e.g. Kewley+13 and Kauffmann+03) that we can plot:
[8]:
from synthesizer.emissions import line_ratios
diagram_id = "BPT-NII"
ia = 0 # 1 Myr old for test grid
x = []
y = []
for iZ, Z in enumerate(grid.metallicity):
grid_point = (ia, iZ)
lines = grid.get_lines(grid_point)
x_, y_ = lines.get_diagram(diagram_id)
x.append(x_)
y.append(y_)
# Plot the Kewley SF/AGN dividing line
fig, ax = plt.subplots()
ax.plot(x, y)
logNII_Ha = np.arange(-2.0, 1.0, 0.01)
logOIII_Hb = line_ratios.plot_bpt_kewley01(
logNII_Ha, fig=fig, ax=ax, show=True, c="k", lw="2", alpha=0.3
)
/home/runner/work/synthesizer/synthesizer/src/synthesizer/emissions/line_ratios.py:174: RuntimeWarning: overflow encountered in power
ax.loglog(10**logNII_Ha, 10**logOIII_Hb, **kwargs)
