Pipeline Profiling

These benchmarks represent “real-world” usage patterns where multiple operations are performed in sequence using the Pipeline object. This tests how the full pipeline scales with problem size when performing all typical analysis tasks together.

Test Configuration

The Pipeline profiling uses the following configuration to represent realistic observational analysis workflows:

Emission Model

PacmanEmission with dust attenuation (tau_v=0.5, fesc=0.1)

Instrument

JWST NIRCam Wide with 8 filters (F070W, F090W, F115W, F150W, F200W, F277W, F356W, F444W)

Imaging

60 kpc field of view at z=1.0 with angular resolution (0.031 arcsec/pixel)

Operations Performed

LOS optical depths, SFZH/SFH (star formation history), rest-frame spectra (Lnu), observer-frame spectra (Fnu), photometry luminosities, photometry fluxes, emission line luminosities, emission line fluxes, rest-frame images, observer-frame images

Galaxies

10 synthetic galaxies per run, each containing stars, gas, and black holes

Particle Counts

100, 500, 1000, 5000, 10000

Hardware

AMD EPYC 7542 32-Core Processor, 8 threads used

Timing Performance

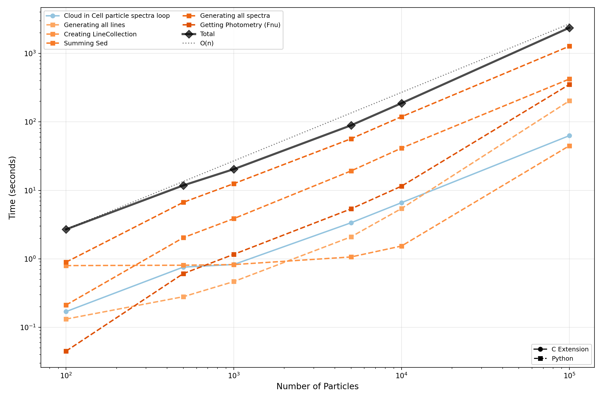
The following plot shows how the Pipeline runtime scales with the number of stellar particles per galaxy. Only operations contributing ≥5% to the total runtime in at least one particle count are shown. The O(n) reference line is anchored at the first data point (100 particles).

../_images/pipeline_timing_scaling.png

Memory Performance

The following plots show the memory usage (RSS sampling at high frequency) of the full Pipeline execution across different particle counts. Sampling frequencies range from 5 kHz for 100 particles down to 500 Hz for 10,000 particles to ensure adequate temporal resolution across all test cases.

Normalised Memory Profile

Memory usage normalised to execution progress (0-100%), shown in MB on a logarithmic scale. Peak memory is marked with circles.

../_images/pipeline_memory_normalized.png

Peak Memory Scaling

Peak memory vs particle count on log-log axes (shown in MB) with an O(n) reference line anchored at the first data point.

../_images/pipeline_memory_scaling.png

Memory Scaling Results:

Particle Count

Peak Memory

Scaling Factor

100

882 MB

1.0× (baseline)

500

1,578 MB

1.8× baseline

1000

2,567 MB

2.9× baseline

5000

9,252 MB

10.5× baseline

10000

14,575 MB

16.5× baseline

Profiling Scripts

The Pipeline profiling can be reproduced using the scripts in the profiling/pipeline directory:

# Run timing profiling
python profile_timing.py --basename npart_1000 --nparticles 1000 \
    --ngalaxies 10 --include-observer-frame

# Run memory profiling (with custom sampling frequency)
python profile_memory.py --basename npart_1000 --nparticles 1000 \
    --ngalaxies 10 --sample-freq 2000 --include-observer-frame

# Analyse timing results
python analyse_timing.py --inputs npart_*/timing.csv \
    --labels "100" "500" "1000" --output-dir timing_analysis

# Analyse memory results
python analyse_memory.py --inputs npart_*/memory.csv \
    --labels "100" "500" "1000" --output-dir memory_analysis

See the profiling README for more details on running and customising the profiling suite.