Dust Attenuation Curves¶
We implement a whole suite of different attenuation curves in synthesizer, including the following:
PowerLaw
: A power-law attenuation curve.Calzetti2000
: The Calzetti (Calzetti et al. 2000) attenuation curve (with an optional UV bump from Noll et al. 2009).MWN18
: A Milky Way attenuation curve, defined in Narayanan et al. 2018.GrainsWD01
: A dust grain attenuation curve from Weingarter and Draine 2001 with models for the Milky Way, LMC, and SMC (and more defined in WD01).ParametricLi08
: A parametric and empirically derived attenuation curve implemented in Li et al. 2008, including parameters from Markov et al. 2023 and Markov et al. 2024.
These attenuation curves can be instantiated directly, or attached to an EmissionModel
to be used in the generation of complex spectra from a galaxy or galaxy component.
Each model has unique arguments required at instantiation, but all have the same base methods, such as get_transmission
(which requires an optical depth (tau_v
) and a wavelength array). Below, we show how to instantiate each of these models and plot their transmission and attenuation curves.
We first define a wavelength array up front:
[1]:
import numpy as np
from unyt import Angstrom
lams = np.logspace(3.1, 4, 1000) * Angstrom
PowerLaw¶
A PowerLaw
only requires a slope to be defined. We can then use the in-built methods, e.g. get_transmission
, to return the transmission over our wavelength array values.
[2]:
from synthesizer.emission_models.attenuation import PowerLaw
power_law = PowerLaw(-1.0)
pl_trans = power_law.get_transmission(0.33, lams)
Below we plot the transmission and attenuation curves.
[3]:
power_law.plot_transmission(0.33, lams, show=True)
power_law.plot_attenuation(lams, show=True)


[3]:
(<Figure size 800x600 with 1 Axes>,
<Axes: xlabel='$\\lambda/(\\AA)$', ylabel='A$_{\\lambda}/$A$_{V}$'>)
Calzetti2000¶
The Calzetti2000
model requires a slope (slope
), central wavelength of the UV bump (cent_lam
), amplitude of the UV bump (ampl
), and the FWHM of the UV bump (gamma
). These default to 0.0, 0.2175 microns, 0, and 0.035, respectively. We plot the transmission curve both with the defaults and a non-zero bump amplitude.
[4]:
from synthesizer.emission_models.attenuation import Calzetti2000
no_bump = Calzetti2000()
with_bump = Calzetti2000(ampl=10.0)
fig, ax = no_bump.plot_attenuation(lams, show=False, label="No UV bump")
_, _ = with_bump.plot_attenuation(
lams, fig=fig, ax=ax, show=True, label="With UV bump"
)

MWN18¶
The MWN18
model loads a data file included with synthesizer; as such, it requires no arguments.
[5]:
from synthesizer.emission_models.attenuation import MWN18
mwn18 = MWN18()
_, _ = mwn18.plot_attenuation(lams, show=True)

GrainsWD01¶
GrainsWD01
requires the model to be defined (either 'MW'
, 'LMC'
, or 'SMC'
), and uses the dust_extinction module to load the appropriate model.
[6]:
from synthesizer.emission_models.attenuation import GrainsWD01
mw = GrainsWD01("MW")
smc = GrainsWD01("SMC")
lmc = GrainsWD01("LMC")
fig, ax = mw.plot_attenuation(lams, show=False, label="MW")
_, _ = smc.plot_attenuation(lams, fig=fig, ax=ax, show=False, label="SMC")
_, _ = lmc.plot_attenuation(lams, fig=fig, ax=ax, show=False, label="LMC")
ax.grid(ls="dotted", alpha=0.5)

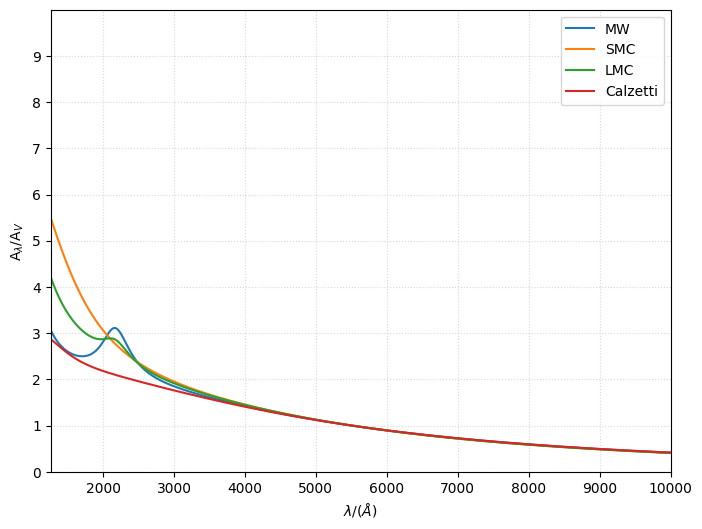
ParametricLi08¶
The ParametricLi08
model requires the UV slope (UV_slope
, default 1.0), the optical to Near Infrared slope (OPT_NIR_slope
, default 1.0), the Far UV slope (FUV_slope
, default 1.0), and a dimensionless parameter between 0 and 1 controlling the strength of the UV bump (bump
, default 0.0). Alternatively, a model string can be passed to adopt a preset model (possible values: "MW"
, "LMC"
, "SMC"
, or Calzetti
).
[7]:
from synthesizer.emission_models.attenuation import ParametricLi08
mw_li08 = ParametricLi08(model="MW")
smc_li08 = ParametricLi08(model="SMC")
lmc_li08 = ParametricLi08(model="LMC")
calz_li08 = ParametricLi08(model="Calzetti")
fig, ax = mw_li08.plot_attenuation(lams, show=False, label="MW")
_, _ = smc_li08.plot_attenuation(lams, fig=fig, ax=ax, show=False, label="SMC")
_, _ = lmc_li08.plot_attenuation(lams, fig=fig, ax=ax, show=False, label="LMC")
_, _ = calz_li08.plot_attenuation(
lams, fig=fig, ax=ax, show=False, label="Calzetti"
)
ax.grid(ls="dotted", alpha=0.5)

Varying Attenuation Law Parameters¶
The parameters of an attenuation law (e.g. the slope
of a PowerLaw
) can be varied on-the-fly when calculating the attenuation or transmission curves. This allows us to instantiate a single attenuation law object, and then vary its parameters as needed, e.g. for generating a population of galaxies with different attenuation law slopes.
The way this works in practice is that we instantiate the attenuation law emission model as normal, but we override the parameters we want to vary with a string input, which will be the argument the code looks for on the emission model and emitter.
[8]:
from synthesizer.emission_models.attenuation import ParametricLi08
dust_curve = ParametricLi08(
model="MW",
OPT_NIR_slope="optical_slope",
UV_slope="uv_slp",
FUV_slope=None,
bump="bump_ampl",
)
This emission model is not useable on its own, but when attached to a parent EmissionModel or emitter with the appropriate parameters, the parameters will be overridden on-the-fly when calculating the attenuation or transmission curves.
In the below example, we instantiate a ParametricLi08
attenuation law, but override the OPT_NIR_slope
, UV_slope
, and bump
parameters with strings. When this attenuation law is attached to an emitter or emission model with these parameters, the values will be used instead of the defaults. If you set a parameter to None
, it will expect an override with the same name as the parameter (e.g. FUV_slope
in this case).
[9]:
from unyt import Msun, yr
from synthesizer.emission_models import TotalEmission
from synthesizer.grid import Grid
from synthesizer.parametric import Stars
grid = Grid("test_grid.hdf5")
stars = Stars(
log10ages=grid.log10ages,
metallicities=grid.log10metallicity,
sf_hist=1e6 * yr,
metal_dist=0.02,
initial_mass=1e8 * Msun,
optical_slope=-0.7,
uv_slp=3.0,
tau_v=1.0,
)
emergent = TotalEmission(
grid=grid, dust_curve=dust_curve, bump_ampl=10, FUV_slope=2.0
)
stars.get_spectra(emergent)
stars.plot_spectra()
/home/runner/work/synthesizer/synthesizer/src/synthesizer/components/stellar.py:75: RuntimeWarning: invalid value encountered in log10
self.log10metallicities = np.log10(
[9]:
(<Figure size 350x500 with 1 Axes>,
<Axes: xlabel='$\\lambda/[\\mathrm{\\AA}]$', ylabel='$L_{\\nu}/[\\mathrm{\\rm{erg} \\ / \\ \\rm{Hz \\cdot \\rm{s}}}]$'>)
